[Provisional Translation]
Financial Services Agency
February 7, 2003

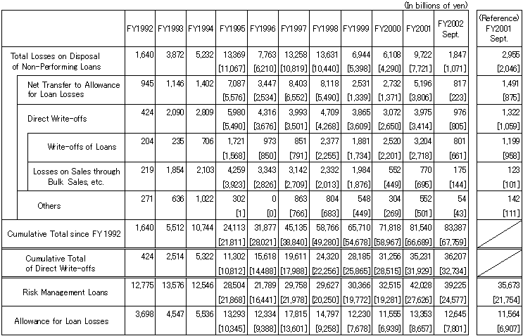
Table-4 Total Losses on Disposal of Non-Performing Loans of All Banks

Table-4 Total Losses on Disposal of Non-Performing Loans of All Banks
(Note)
1. For FY 1992 to FY 1994, above data are composed of City Banks, Long-term Credit Banks and Trust Banks. Figures in parentheses refer to the amount of City Banks, Long-term Credit Banks and Trust Banks.
2. Hokkaido Takusyoku Bank, Tokuyo City Bank, Kyoto Kyoei Bank, Naniwa Bank, Fukutoku Bank, and Midori Bank are excluded from FY 1997 onward. Kokumin Bank, Kofuku Bank and Tokyo Sowa Bank are excluded from FY 1998 onward. Namihaya Bank and Niigata Chuo Bank are excluded from FY 1999 onward. Ishikawa Bank and Chubu Bank are excluded from FY 2001. Long-term Credit Bank of Japan(Shinsei Bank at present) is excluded from FY1998. Nippon Credit Bank (Aozora Bank at present) is excluded from FY 1998 and FY 1999.
3. ''Net Transfer to Allowance for Loan Losses'' refers to the total amount of net transfer to specific allowance for loan losses and net transfer to general allowance for loan losses, etc.
4. ''Risk Management Loans'' figures had been composed of ''Loans to Borrowers in Legal Bankruptcy'' [LBB], ''Past Due Loans'' [PDL], and ''Restructured Loans'' for FY1995 and FY1996. For FY 1992 to FY 1994, the figures had been composed of LBB and PDL.
5. ''Losses on Sales through Bulk Sales etc.'' refers to the total amount of losses on sales through bulk sales, losses on supports to subsidiary, losses on sales to the RCC, losses on sales to the CCPC etc.
6. ''Others'' in ''Total Losses on Disposal of Non-Performing Loans'' refer to the total amount of allowance for expected losses brought by the loans sold to CCPC, and allowance for expected losses brought by the supports to Subsidiaries etc.
7. ''Total Losses on Disposal of Non-Performing Loans'' at FY 2001 includes the figure of Tokai Bank (merged in January, 2002).

Table-1 The Status of Non-Performing Loans held by all banks(as of end-September 2002)
Table-2 The Status of Non-Performing Loans (NPLs) of All Banks based on the Financial Reconstruction Law
Table-3 Transition of Non-Performing Loans (NPLs) based on the Financial Reconstruction Law
Table-4 Total Losses on Disposal of Non-Performing Loans of All Banks
(Reference) The Status of Risk Management Loans of All Banks (as of end-September 2002)